是他告诉我们什么才是真空

新闻动态
2025/12/11 14:44:26
返回新闻列表

古往今来,法兰西大地诞生了许多影响世界的巨人,从西方哲学之父笛卡尔,到浪漫主义文学领袖雨果,还有拿破仑、孟德斯鸠等等著名伟人。为了纪念他们的杰出贡献与伟大功勋,他们的肖像印在法郎钞票上被世人铭记于心。而1987版500法郎钞票上的人物,就是解释了压强和真空的…

古往今来,法兰西大地诞生了许多影响世界的巨人,从西方哲学之父笛卡尔,到浪漫主义文学领袖雨果,还有拿破仑、孟德斯鸠等等著名伟人。为了纪念他们的杰出贡献与伟大功勋,他们的肖像印在法郎钞票上被世人铭记于心。而1987版500法郎钞票上的人物,就是解释了压强和真空的概念并对机械计算器的制造和流体的研究作出重要贡献的法国物理学家布莱士·帕斯卡(Blaise Pascal )。

图片

 ▲500元法郎上的帕斯卡  

对于帕斯卡,相信每一个人都不陌生。许多人认识帕斯卡是因为初中物理课本,其中压强单位帕斯卡(Pa)即是以他的名字命名。也因为他毕生的研究与实验,才让人类打开“真空”这扇通往未来的大门。今天我们就来重新认识一下这位真空领域的殿堂级科学家——布莱士·帕斯卡(Blaise Pascal )

帕斯卡生于法国奥弗涅地区多姆山省的克莱蒙,四岁丧母的他一直和父亲艾基纳生活。作为一名地方法官,帕斯卡的父亲同时也是一位数学家和拉丁语学者。在其精心地教育下,帕斯卡很小时就精通欧几里得几何,自己可独立地发现出欧几里得前32条定理。1631年,帕斯卡全家移居巴黎。在经过一段时间的学习之后,父亲发现了帕斯卡在数学方面的天赋,于是在16岁那年,帕斯卡就参加了巴黎数学家和物理学家小组的学术活动,并写出《圆锥截线论》一文,得出了著名的“帕斯卡定理”。笛卡尔看后对此书大为赞赏,他不敢相信这出自于一个16岁少年之手。

图片

1641年,帕斯卡又随家移居鲁昂。1642年到1644年间帮助父亲做税务计算工作时,帕斯卡发明了加法器,这是世界上最早的计算器,现陈列于法国博物馆中。1647年他重返巴黎居住,开始接触并投入到真空和流体静力学的研究。帕斯卡根据托里拆利的理论,进行了大量的实验,其中就有著名的1648年“帕斯卡水桶实验”。

随后他发表了有关真空问题的论文,设想并发现了随着高度降低,大气压强增大的规律。1649年到1654年,帕斯卡总结实验成果,写成了《液体平衡及空气重量的论文集》,完成关于液体平衡、空气的重量和密度及算术三角形等多篇论文,发明了注射器、水压机,改进了托里拆利的水银气压计。此后帕斯卡转入神学与哲学研究,在1655~1659年间撰写了许多宗教著作。晚年的他被病痛折磨,安于虔诚的宗教生活。1662年8月19日帕斯卡逝世,终年39岁。


 帕斯卡水桶实验 

帕斯卡做过一系列实验来研究液体压强的规律。其中最出名的就是“帕斯卡水桶实验”:用一个木酒桶,顶端开一个小口,小口上接一根很长的铁管子,接口密封。实验的时候,酒桶先盛满水,再慢慢往铁管子里倒上几杯水,当管子中的水柱高达到几米的时候,木酒桶突然破裂,水流满地。

图片


帕斯卡的实验结论:

影响液体压强最大的因素之一就是深度。实验中向细管里面加入几杯水后,液面高度迅速增加,当深度增加到6米,其产生的压强将会达到60000帕斯卡,相当于一个300斤大汉单脚踩到桶上面的压强。

桶底所受液体压力大小相当于与其底面积和高相等的圆柱型液体的重力。管中的液面越高,虚拟液柱就会越重,其液体压力越大。但是几杯水的重力却很小,所以液体压力可以远大于自身重力。

图片


帕斯卡由此提出帕斯卡定律:加在密闭液体任一部分的压强,必然按其原来的大小,由液体向各个方向传递。

图片


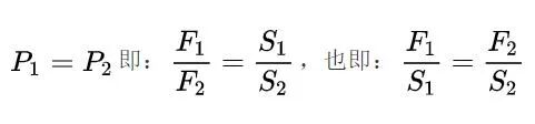
运用此定律的典型就是液压系统:两个连通水缸,任一水平面上的压强必然是相等,如果两个活塞处于同一水平线,那么活塞所受压强就有:P1=P2。

图片

图片

图片

帕斯卡液压系统 


除了“帕斯卡水桶实验”,帕斯卡还用实验证实了真空的存在。中世纪的天主教神学宣称自然害怕真空,因此一定会阻止真空的出现。到了17世纪上半叶,整个科学界都在讨论大气压和真空到底存不存在。1643年,意大利科学家托里切利成功测定了大气压,受托里切利实验的启发,帕斯卡深入思考气压的问题。帕斯卡推测,如果空气有一定的重量,那么大气的高度就有个上限,则空气就应该越往上越稀薄,证明大气压的存在。

与此同时,帕斯卡思考实验中玻璃管密封的一端出现了没有水银的一段,这一段里面有什么东西呢?后来帕斯卡认为存在真空,玻璃管上端的水银下落后留下的部分就是真空,即“托里拆利真空”,这对后来真空科技的发展意义深远。

图片


除了物理学,帕斯卡在数学领域造诣同样很深。除对概率论等方面有卓越贡献外,最突出的是著名的帕斯卡定理:他在《关于圆锥曲线的论文》中提出的。帕斯卡定理是射影几何的一个重要定理,即“圆锥曲线内接六边形其三对边的交点共线”。在代数研究中,他发表过多篇关于算术级数及二项式系数的论文,发现了二项式展开式的系数规律,即著名的“帕斯卡三角形”(又名“杨辉三角形”)。他与费马共同建立了概率论和组合论的基础,并得出了关于概率论问题的一系列解法。他研究了摆线问题,得出了不同曲线面积和重心的一般求法。他计算了三角函数和正切的积分,最早引入了椭圆积分。

图片

帕斯卡定理:AB、DE的延长线交于点G,边BC、EF的延长线交于点H,边CD、FA的延长线交于点K。GHK三点共线。


当然,帕斯卡的一生还有两本重要的书籍。一本是涉及文学与宗教的《思想录》,一本是神学研究《致外省人信札》。帕斯卡在物理、数学、哲学、文学、神学等领域的突出贡献,为人类留下了宝贵的精神财富。




上一篇:没有了
下一篇:没有了